I have received a number of questions regarding what I feel we will get from the City Council’s “Independent Investigation” and Kris Cappel. You might remember Mayor Condon tried real hard to get Retired Judge Michael Hogan, whom I’ve never been impressed with do the “Mayor’s Investigation”.
Fortunately, most people saw through that the City Council finally stepped in (after some prodding) so we ended up with Kris Cappel.
The questions I have received revolve around what do I think we will get…the truth is I really don’t know but I do have some concerns.
When Cappel was announced as the investigator, I knew the name and some of the background, but as any investigative reporter would do I went back checked and did some more checking. Some of the things I am reporting were originally going to be hold-backs until after the report was public…but I will give my readers some info and facts today so you can draw your own conclusions.
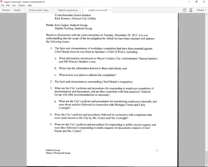
The best place to start is the contract we all have with Kris Cappel. Notice there is a $48,000.00 cap. Those don’t really mean much in the cases of consultants/investigators…more can be added later if need be.
City of Spokane Contract with Cappel:
https://files.acrobat.com/a/preview/f2046c63-a30a-47db-bbdc-c598fe61cb0f
Another important thing to look for in any contract is the scope of work, that too can be added to or subtracted from. I really don’t like this one.


This is Kris Cappel’s company which has quite a bit of history in Washington including an investigation of the Lynnwood Mayor which I will link below and mention I hope we get more.
http://www.seaboldgroup.com/about_us/team/kris_cappel/
Lynnwood Mayor Investigation by Cappel:
http://www.heraldnet.com/article/20101004/NEWS01/710049927
Cappel’s 27-page report:
https://files.acrobat.com/a/preview/6065f645-67c3-45e8-a095-1e2e300e5833
Strong Letter:
https://files.acrobat.com/a/preview/0d55735f-8d43-4399-9572-f6c2d0afe850
Cappel Response:
https://files.acrobat.com/a/preview/2d505d63-26e5-45c2-9993-59151030651a
Cappel’s statements on PI ethics:
https://files.acrobat.com/a/preview/8a0c6450-d7aa-48a6-8177-055872cc17b2
It is always interesting in Spokane!
One of the things you folks might find real interesting is that Kris Cappel at onetime was involved as an investigator hired by a company known as Cedar Grove Composting Incorporated who sued the City of Marysville in a PRA case and her Public Records Requests as Cedar Grove’s hired gun became a bone of contention. So we know that Cappel has a background in doing PRRs.
Here is the Slip Opinion:
https://files.acrobat.com/a/preview/1ad35e0c-8f40-4b41-98fd-f5299e62057d
Okay…so here is the interesting part, and the reason Cappel’s name was familiar to me.
Believe it or not Cedar Grove Composting Incorporated, is strongly associated with the Condon Family as well as other notable Spokane Families, including the Rivard and Stone Families. Does that matter as far as this investigation is concerned, well we all hope not!
That is all I’m giving up today folks! 🙂 🙂
http://old.seattletimes.com/text/2020683955.html
Look People… I don’t just make this stuff up!!!!
I REPORT YOU DECIDE!!
So the city of Marysville tried to cover up dirt they were doing by violating the laws on Public Disclosure and it would up costing their taxpayers a quarter of a mil in penalties and damages/attorney fees. The situation sounds familiar to a local situation, eh? When do you suppose the lawsuit will get filed??
LikeLiked by 1 person